Accurate and fast, Pangaea fast Real-time PCR system
Pangaea Real-time PCR System has obtained the certifications of the National Medical Products Administration (NMPA, with the registration number of 20243220680 in China for medical devices) and the CE Certification of the European Union. It is a nucleic acid detection platform integrating high efficiency, precision and convenience, and is specially designed to meet the diverse needs of modern molecular diagnosis laboratories. Its outstanding performance and reliable quality provide a solid guarantee for your experimental data.
Technical features
Precise temperature control system
Best-in-class heating and cooling speed
Adopt optical waveguide detection system
Control software that complies with international standards
Intelligent pressure system
Perfect electric control
Excellent performance
Good consistency

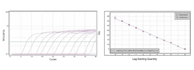
11 orders of magnitude dynamic range
Excellent 6-fold detection capability
CqMAN quantitative operation software that complies with international standards
International software design and operation specifications, easy operation, data visualization, support for multiple languages including Chinese and English.
One-click switching between Chinese and English reduces the learning curve. • A wizard window greatly simplifies the setup process. • Supports running the program first and then setting the plate, saving experimental time.
Rapid negative/positive discrimination, intuitive and reliable.• Experimental design, plate layout, and program settings can be saved independently or in full as templates for fast experiment running.
Order Information
| Model | Catalog | Channel |
| Pangaea 3fast | H621103 | FAM/VIC/ROX |
| Pangaea 4fast | H621104 | FAM/VIC/ROX/CY5 |
| Pangaea 5fast | H621105 | FAM/VIC/TAMRA/ROX/CY5 |
| Pangaea 6fast | H621106 | FAM/VIC/TAMRA/ROX/CY5/Quasar705 |


