naica® Droplet Chip Digital PCR System Accurately Quantitates - The Dawn of AIDS Cure "HIV Latent Virus
Since the introduction of combination antiretroviral therapy (ART), HIV-1 infection has transformed from a fatal disease to a manageable chronic disease. However, while ART can effectively suppress viral replication in an individual, it does not cure HIV-1 infection. This is due to the presence of a latent reservoir in the patient's body, which contains a small portion of intact proviruses with replication competence (about 1-5%), providing "fuel" for viral replication after ART is stopped. Therefore, if scientists want to achieve HIV-1 cure by eliminating this reservoir, they have to accurately assess these intact proviruses. However, patients receiving ART treatment may have a very small intact latent reservoir of virus, and detection in limited blood sampling may miss these latent reservoirs.

In the past few years, several methods have emerged to detect viral reservoirs based on a combination of PCR and next-generation sequencing (NGS). For example, the IPDA (intact proviral DNA assay) method, which is based on a dual dPCR method to quantify the intact provirus of HIV-1 patients, detects two targets, PSI and ENV, in the HIV-1 genome through a dual experiment. Another common method is Q4PCR, which introduces quadruple qPCR into the HIV-1 full-length sequencing scheme to evaluate the integrity of the HIV-1 genome before full-length sequencing. Although these methods improve detection sensitivity and can provide full-length HIV-1 sequences, they are not cost-effective, require multiple manual steps, and are time-consuming.
Scientists from Ghent University in Belgium, the Digital PCR Alliance of Ghent University, the HIV Treatment Research Center and others recently published a paper on HIV-1 viral reservoir research in the well-known journal "Methods". The article integrated the IPDA method and the Q4PCR method and verified it on the naica® droplet chip digital PCR system. This method increases the number of targets for the IPDA method to detect HIV-1, improves the detection sensitivity, and achieves accurate quantification of the latent viral reservoir.

Research methods:
Combining IPDA and Q4PCR methods, a triple digital PCR experiment based on the naica® droplet chip digital PCR system was designed.
☑ PSI target-FAM blue probe labeling
☑ ENV target-HEX green probe labeling
☑ GAG target & POL target-Cy5 red probe labeling

▲ Genomic location map corresponding to the target
Research results:
☑ Single-plex experiments were performed using the J-Lat 8.4 cell line (each cell contains 1 copy of the HIV-1 genome) and the performance of the naica® droplet chip digital PCR system triple-plex assay was measured. The results showed that the quantitative results were consistent with the theoretical values and had good repeatability; the positive and negative droplets of each target were well distinguished.

▲ Quantification of the copy number of the positive control J-Lat 8.4 cells - setting up single-plex detection of PSI, ENV, GAG/POL
and multiplex experiments such as IPDA and triplex, and correcting for DNA shearing (DSI)
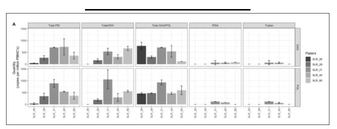
☑ The naica® microdroplet chip digital PCR system was used to directly quantify five PBMC samples from HIV-1 patients. These samples had low viral loads and were all treated with ART. The test results showed that HIV-1 was detected in all five patients. In addition, an interesting phenomenon was found. Almost no ENV was detected in the patient SLR_26 sample and PSI had only a very low signal. This result indicates that there may be deletions or mutations in the PSI and ENV sequences. If only these two targets are detected, the patient may be judged as HIV-1 negative. Fortunately, using the triplex experiment designed by the naica® microdroplet chip digital PCR system, the GAG or POL gene was detected normally, indicating that the sample contained HIV-1.

▲ Quantification of PBMC (per million) of 5 HIV-1 patients using naica® microdroplet chip digital PCR system
Article conclusion:
The latent viral reservoir of HIV-1 patients was quantified by naica® microdroplet chip digital PCR system. Compared with traditional methods, the number of subgenomic regions detected was increased, the sensitivity of latent viral reservoir detection was improved, and the possibility of misjudgment of results was reduced. This method can even be further amplified in the 5-color or 6-color digital PCR system to be developed in the future.
The original link is as follows: https://doi.org/10.1016/j.ymeth.2021.05.006
Institution introduction:
Ghent University (UGent), abbreviated as UGent, was founded by King William I of the Netherlands in 1817. It has a history of more than 200 years. It is the world's top research university ranked first in Belgium. It has always been renowned worldwide for its extremely high academic level. It ranks 66th in the 2020 World University Academic Ranking. Four Nobel Prize winners were born among Ghent University alumni.
With the development of digital PCR technology, Ghent University has established a digital PCR alliance, which is committed to developing digital PCR detection and data analysis tools. At the same time, the platform will also hold digital PCR training courses from time to time to help students and professionals better understand and apply digital PCR technology.
naica® Droplet Chip Digital PCR System
The naica® Droplet Chip Digital PCR System of Stilla Technologies in France has unique advantages in nucleic acid detection. The system uses the cutting-edge microfluidic innovative chip-Sapphire chip (or high-throughput Opal chip) as a consumable for the digital PCR process. The sample enters the 2D chip in the form of 30,000 droplets through the capillary channel grid. The 3-color fluorescence detection instrument only takes 2.5 hours for the entire process, and can perform data quality control and result traceability analysis, and the data obtained is true and reliable.